Přeskočit na obsah

Chondroitin sulfát

Chondroitin sulfát je glykosaminoglykan obsažený v proteoglykanech mezibuněčné hmoty chrupavky; při osteoartróze se jeho obsah v chrupavce i kvalita snižují. Chondroitin sulfát patří mezi perorální symptomatické pomalu působící léky osteoartrózy (SYSADOA) s prokázanou symptomatickou účinností u osteoartrózy kolenních a kyčelních kloubů a osteoartrózy drobných ručních kloubů. U gonartrózy byl v několika dvojitě slepých studiích prokázán i jeho strukturální efekt, tj. schopnost zpomalovat morfologickou progresi osteoartrózy, částečný strukturální efekt byl zjištěn i u osteoartrózy rukou. Chondroitin sulfát se podává perorálně v dávce 800 mg denně, jeho účinek nastupuje pozvolna v průběhu 4–12 týdnů, proto se doporučuje v úvodu léčby podat dávku dvojnásobnou. K symptomatické úlevě u osteoartrózy se podávají tříměsíční terapeutické cykly jednou až dvakrát ročně, obvykle v době aktivace artrotického procesu, k dosažení strukturálního efektu je však nutná kontinuální, dlouhodobá léčba (2–3 roky). Chondroitin sulfát nemá prakticky žádné lékové interakce, lze jej proto kombinovat s analgetiky i nesteroidními antirevmatiky. Léčba chondroitin sulfátem je bezpečná. Nežádoucí účinky nejsou časté, mohou se vyskytnout mírné zažívací obtíže, exantém aj., jež obvykle nevedou k přerušení léčby. Závažné nežádoucí účinky při léčbě chondroitin sulfátem popsány nebyly. Chondroitin sulfát je v současné době doporučován k léčbě osteoartrózy i mezinárodními autoritami (EULAR, OARSI).

Farmakologická skupina

Chondroitin sulfát je perorální lék ze skupiny tzv. symptomatických pomalu působících léků osteoartrózy (SYSADOA, z anglického SYmptomatic Slow Acting Drugs for OsteoArthritis) a patří v současné době k nejlépe prostudovaným látkám z této skupiny. Chondroitin sulfát může být pro farmakologické účely získáván z chrupavek hovězích, vepřových, drůbežích nebo rybích, resp. žraločích. Chondroitin sulfát je v České republice registrován jako léčebný přípravek, ATC kód je M01AX25. Je rovněž obsažen v řadě dietních doplňků s různou kvalitou [1].

Chemické a fyzikální vlastnosti

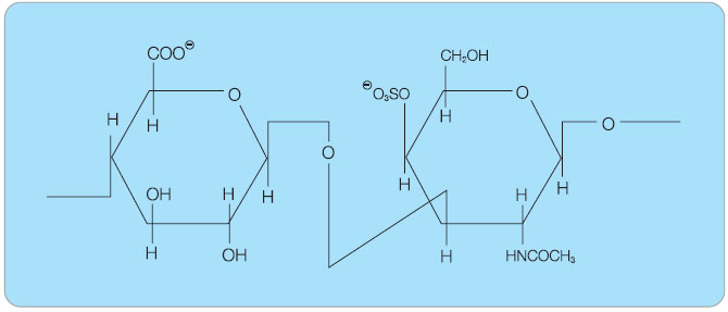
 Obr. 1  Disacharidová jednotka chondroitin-4-sulfátu složená z kyseliny glukuronové a galaktosamin-4-sulfátu. Chondroitin sulfát je sulfatovaný polysacharid ze skupiny glykosaminoglykanů. V jeho molekule se opakuje disacharidová jednotka složená z kyseliny glukuronové a galaktosaminu, který je sulfatován obvykle na čtvrtém nebo šestém uhlíku (chondroitin-4-sulfát, chondroitin-6-sulfát), viz obr. 1. V malém množství se v řetězci přirozeného chondroitin sulfátu mohou objevit i nesulfatované disacharidy, disacharidy sulfatované na jiném uhlíku nebo disulfatované či trisulfatované disacharidy [2]. Chondroitin sulfát je součástí řady proteoglykanů obsažených v kloubní chrupavce, zejména agrekanu, dále též dekorinu a biglykanu.

Mechanismus účinku, farmakodynamika

Fyziologická úloha chondroitin sulfátu

Chondroitin sulfát je jednou ze základních molekul mezibuněčné hmoty kloubní chrupavky. Mezibuněčná hmota je složena z pevné kolagenní sítě, v níž jsou zanořeny molekuly proteoglykanu agrekanu. Kolagenní síť představuje základní nosnou trojrozměrnou molekulární konstrukci mezibuněčné hmoty chrupavky. Majoritním kolagenem mezibuněčné chrupavky je kolagen typu II, jehož terciární struktura je stabilizována pyridinolinovými můstky. V chrupavce jsou obsaženy v malém množství i některé další typy kolagenů, např. kolagen typu VI, IX a XI [3].

 Obr. 2  Schéma molekuly agrekanu. V kolagenní síti jsou vázány obrovské molekulární komplexy agrekanu. Agrekan je proteoglykan složený z centrálního proteinu, na který jsou navázány různě dlouhé řetězce glykosaminoglykanů (obr. 2). Hlavním polysacharidem agrekanu z hlediska objemu je chondroitin sulfát, který vytváří dvě chondroitin sulfátové domény, dále je v agrekanu obsažen keratan sulfát, v tzv. keratan sulfátové doméně, a oligosacharidy. Jednotlivé molekuly agrekanu jsou navázány na dlouhé vlákno kyseliny hyaluronové. Chondroitin sulfát i další glykosaminoglykany agrekanu obsahují velké množství negativně nabitých skupin, a jsou proto schopny vázat značné množství vody. Tato jejich vlastnost je podstatou funkce agrekanu, který se díky změně obsahu vody podílí na absorpci mechanické síly, která na chrupavku působí. Spontánnímu zvětšování objemu glykosaminoglykanů absorpcí vody brání za fyziologických okolností právě pevná, neelastická kolagenní síť.

Mechanismus účinku u osteoartrózy

U osteoartrózy dochází v chrupavce k řadě metabolických změn směřujících ke zhoršení její kvality. Degenerativní změny se týkají všech složek mezibuněčné hmoty chrupavky. Kolagenní síť se stává následkem patologické produkce jiných typů kolagenu (např. kolagenu typu I a III) méně pevnou a odolnou vůči působení proteolytických enzymů a přestává stačit odolávat značnému osmotickému tlaku agrekanu, který absorbuje více vody a zvětšuje tak svůj objem; edém chrupavky však snižuje její elasticitu. Z poškozené kolagenní sítě se též snáze extrahují fragmenty i celé molekuly agrekanu do synoviální tekutiny, což vede k jeho úbytku v chrupavce. Alterována je však i samotná syntéza agrekanu i chondroitin sulfátu, mění se délka řetězců chondroitin sulfátu, poměr chondroitin-4-sulfátu a chondroitin-6-sulfátu, zvyšuje se antigenicita chondroitin sulfátu. Výsledkem všech výše uvedených změn je pak zhoršení kvality i snížení množství agrekanu, což vede ke ztrátě pružnosti a alteraci funkce kloubní chrupavky [4].

Ve studiích in vitro byly u chondroitin sulfátu prokázány všechny charakteristické účinky SYSADOA, tedy stimulace syntézy mezibuněčné hmoty chrupavky, inhibice její degradace a protizánětlivý efekt. Chondroitin sulfát např. zvyšuje syntetickou aktivitu kultivovaných humánních chondrocytů, zvyšuje produkci proteoglykanů a zároveň snižuje aktivitu kolagenázy [5]. In vitro byl dále prokázán příznivý vliv chondroitin sulfátu na apoptózu králičích chondrocytů [6]. Chondroitin sulfát má rovněž vlastní protizánětlivý účinek, na kterém se podílí několik mechanismů: in vitro ovlivňuje chemotaxi, fagocytózu i migraci zánětlivých buněčných elementů a snižuje uvolňování lyzozomálních enzymů [7].

Farmakokinetika

Chondroitin sulfát je po perorálním podání štěpen v zažívacím traktu na fragmenty o různé velikosti, které se poměrně rychle, ale hůře vstřebávají. Biologická dostupnost chondroitin sulfátu po perorálním podání je přibližně 12 %. Maximální plazmatické koncentrace je dosaženo za 5–6 hodin. Resorbované fragmenty se poté zvýšeně akumulují v kloubních chrupavkách, jsou detekovatelné i v synoviální tekutině. Biologický poločas eliminace chondroitin sulfátu je 8,5 hodiny [8].

Klinické zkušenosti

Symptomatický efekt chondroitin sulfátu u osteoartrózy

Symptomatický efekt chondroitin sulfátu u osteoartrózy byl studován v řadě klinických studií, především u osteoartrózy kolenních kloubů a dále u osteoartrózy kyčelních kloubů a kloubů rukou.

Příznivý účinek na artrotické symptomy byl pozorován již v jedné z prvních studií, jež srovnávala efekt chondroitin sulfátu s diklofenakem. Pacienti byli ve dvojitě slepém uspořádání léčeni buď diklofenakem v dávce 150 mg denně po dobu 1 měsíce, nebo chondroitin sulfátem v dávce 1200 mg denně per os po dobu 3 měsíců. Po zbytek studie, která trvala celkem 6 měsíců, užívali sledovaní pacienti placebo. Studie prokázala symptomatický efekt chondroitin sulfátu, který se však rozvíjel pozvolna; nástup účinku byl u diklofenaku rychlejší a po měsíci léčby byl jeho účinek statisticky významně lepší. Rozdíly se vyrovnaly ve 45. dni studie a ve dni 60 již účinnost chondroitin sulfátu převyšovala účinek diklofenaku. Účinnost chondroitin sulfátu na rozdíl od antirevmatika přetrvávala i po dobu dalších tří měsíců po ukončení terapie [9].

Zmírnění bolesti i zlepšení funkce u gonartrózy bylo prokázáno v další dvojitě slepé studii, ve které bylo celkem 120 pacientů léčeno intermitentně chondroitin sulfátem (800 mg denně), nebo placebem po dobu dvakrát 3 měsíců během jednoho roku. Lequesnův index po roce léčby poklesl ve skupině s chondroitin sulfátem o 36 % v porovnání se vstupními hodnotami, zatímco ve skupině placeba poklesl jen o 23 %, rozdíl byl statisticky významný. Podobné výsledky byly shledány i při hodnocení bolesti, rychlosti chůze i hodnocení celkového stavu pacientem [10]. Účinnost různých dávek chondroitin sulfátu sledoval Pavelka a kol. v klinické studii, ve které byli pacienti s gonartrózou léčeni chondroitin sulfátem v dávce 200 mg, 800 mg nebo 1200 mg denně. Účinnost dávky 800 mg byla lepší než účinnost 200 mg a účinnost placeba a téměř srovnatelná s dávkou 1200 mg. Proto byla dávka 800 mg zvolena jako optimální pro další klinické studie i pro běžnou klinickou praxi [11].

Jiná studie hodnotila u 127 pacientů účinnost chondroitin sulfátu, který byl podáván v jedné denní dávce 1200 mg, nebo rozděleně ve třech denních dávkách po 400 mg, ve srovnání s placebem. Lequesnův index ve skupinách léčených chondroitin sulfátem poklesl během léčby o 45 %, zatímco u placeba se snížil jen o 10 %. Statisticky významné rozdíly oproti placebu byly pozorovány již od 14. dne podávání. Účinnost obou dávkovacích schémat byla srovnatelná [12].

Vlnu pozornosti vzbudila v předešlých letech nezávislá studie GAIT, jež porovnávala účinnost celekoxibu, chondroitin sulfátu, glukosamin hydrochloridu a kombinace obou látek s placebem u gonartrózy a přinesla převážně negativní výsledky [13]. Signifikantní symptomatický efekt oproti placebu byl prokázán pouze u celekoxibu, nicméně v další analýze bylo zjištěno, že chondroitin sulfát vedl v této studii k ústupu zánětlivých projevů provázejících artrózu (otok). Tento efekt byl statisticky významný [14]. V posledních letech byly provedeny klinické studie i u koxartrózy, jejich výsledky však zatím publikovány nebyly.

Další indikací, ve které byl symptomatický efekt chondroitin sulfátu sledován, je erozivní osteoartróza rukou. Ve dvojitě slepé randomizované studii bylo léčeno celkem 24 pacientů s erozivní osteoartrózou rukou, přičemž polovina dostávala chondroitin sulfát v dávce 800 mg a naproxen 500 mg denně, druhá polovina byla léčena pouze naproxenem ve stejném dávkování. Kontinuální léčba trvala celkem dva roky. Chondroitin sulfát sice po dvou letech nevedl ke snížení aktivity artrotického procesu na rukou, ale u pacientů léčených pouze naproxenem došlo k signifikantně většímu zhoršení algofunkčního indexu i celkového hodnocení stavu pacientem a lékařem [15].

tb1.jpg Recentně byly publikovány výsledky kritické analýzy metaanalýz klinických studií s chondroitin sulfátem zveřejněných v letech 1999 až 2007. Analýza studovala a hodnotila výsledky a závěry celkem pěti metaanalýz, z nichž čtyři prokázaly statisticky významně lepší účinnost chondroitin sulfátu ve srovnání s placebem. Jedna z metaanalýz prokázala mimo zlepšení symptomů též snížení spotřeby analgetik. Pouze jedna z těchto pěti metaanalýz klinickou účinnost chondroitin sulfátu neprokázala, tato však byla založena na analýze výsledků pouze tří studií (tab. 1). Jedna z metaanalýz též konstatovala, že úleva od bolesti se při léčbě chondroitin sulfátem dostavuje obvykle za 4–12 týdnů po zahájení léčby. Autoři uzavírají, že chondroitin sulfát přináší mírnou až středně silnou úlevu od artrotických obtíží a současně má vynikající bezpečnostní profil [16].

Strukturální efekt chondroitin sulfátu u osteoartrózy

Strukturální efekt, tedy schopnost brzdit morfologickou progresi osteoartrózy, byl prokázán v současnosti již v pěti klinických studiích u gonartrózy a v jedné studii u osteoartrózy rukou.

V první, pilotní studii byl testován symptomatický efekt chondroitin sulfátu (800 mg denně) a placeba u 42 pacientů s gonartrózou po dobu jednoho roku. Jako druhotný cíl této studie byl hodnocen i strukturální efekt pomocí digitální analýzy RTG kolenních kloubů. Terapie vedla ke stabilizaci šířky kloubní štěrbiny, zatímco u placeba došlo k jejímu zúžení [17]. Výsledky této studie podnítily autory k uspořádání větší dvojitě slepé studie (n = 120), kdy byli pacienti léčeni chondroitin sulfátem podle obvyklého schématu (dvě kúry v dávce 800 mg denně celkem tři měsíce), nebo placebem po dobu jednoho roku. Ve studii byly hodnoceny RTG snímky obou kolen, opět pomocí automatické digitální analýzy obrazu, a výsledky potvrdily závěry první pilotní studie: u skupiny placeba došlo k progresi zúžení kloubní štěrbiny, u skupiny s chondroitin sulfátem zůstala šířka zachována. Rozdíl byl statisticky významný [18].

Další rozsáhlá studie, která hodnotila strukturální efekt chondroitin sulfátu, byla publikována v roce 2005 Michelem a kol. Sledováno bylo celkem 300 pacientů po dobu dvou let, studie byla rovněž dvojitě slepá, polovina pacientů dostávala chondroitin sulfát v dávce 800 mg denně po dobu dvou let a polovina placebo. Po dvou letech se kloubní štěrbina ve skupině placeba významně zúžila o 0,61 mm (rozdíl byl oproti vstupní hodnotě vysoce statisticky signifikantní), zatímco ve skupině chondroitin sulfátu se nezměnila (rozdíl 0,00 mm; p > 0,05). Velmi zajímavé je, že v této studii byl shledán velmi významný strukturální efekt, přičemž symptomatický efekt chondroitin sulfátu a placeba se nelišil [19].

 Graf 1  Zúžení šířky kloubní štěrbiny během dvou let léčby chondroitin sulfátem (800 mg denně kontinuálně) a placebem; podle [20] – Kahan, et al., 2009. V roce 2006 byly prezentovány a v roce 2009 publikovány výsledky další, dosud největší, dvojitě slepé randomizované studie s chondroitin sulfátem (studie STOPP – Study on Osteoarthritis Progression Prevention). Studie hodnotila strukturální efekt dvouleté léčby chondroitin sulfátem (800 mg denně per os) ve srovnání s placebem. Do studie bylo zařazeno celkem 622 pacientů, většina z nich (celkem 449 subjektů) dokončila dvouleté sledování. Zúžení šířky kloubní štěrbiny, nepřímo ukazující na úbytek kloubní chrupavky, bylo statisticky významně větší ve skupině placeba oproti chondroitin sulfátu (0,24 Ī 0,03 mm vs. 0,10 Ī 0,03 mm; p < 0,01) [20]. Rozdíly byly významné při analýze „intent to treat“ i při analýze „per protocol“ (graf 1).

Strukturální efekt chondroitin sulfátu potvrdila i recentně publikovaná meta-analýza celkem 4 studií, které hodnotily morfologickou (rentgenovou) progresi osteoartrózy a ve kterých bylo léčeno více než tisíc pacientů. Prokázala však též, že strukturální efekt není prokazatelný v prvním roce léčby, ale je patrný až při dlouhodobé a kontinuální léčbě po dobu 2–3 let [21].

U chondroitin sulfátu byla provedena i dvouletá klinická studie u osteoartrózy rukou: hodnotila ve dvojitě slepém uspořádání rentgenovou progresi rukou u erozivní osteoartrózy, která byla hodnocena po jednom a dvou letech u 24 nemocných, z nichž polovina byla léčena chondroitin sulfátem a naproxenem (800 mg denně + 500 mg denně, per os) a polovina pouze naproxenem ve stejné dávce. Progrese erozí byla po 24 měsících signifikantně nižší u pacientů léčených chondroitin sulfátem a naproxenem než u pacientů užívajících jen naproxen. Chondroitin sulfát nevedl v této studii k pomalejší progresi erozivní osteoartrózy na postižených kloubech, ale počet kloubů postižených erozemi byl na konci dvouletého sledování u skupiny chondroitin sulfátu statisticky významně nižší [22].

Zařazení do současné palety léčiv

Chondroitin sulfát je symptomatický pomalu působící lék osteoartrózy; je vhodný, podobně jako ostatní perorální prostředky z této skupiny, k dlouhodobé symptomatické a strukturální léčbě tohoto onemocnění. Jeho účinnost i bezpečnostní profil jsou srovnatelné s ostatními SYSADOA. Vzhledem k opožděnému nástupu účinku nelze u chondroitin sulfátu očekávat rychlý analgetický efekt, po dobu akutní exacerbace osteoartrózy je proto vhodné podávat chondroitin sulfát současně s analgetiky či s nesteroidními antirevmatiky.

Indikace

Chondroitin sulfát je indikován k léčbě symptomatické gonartrózy, koxartrózy a osteoartrózy rukou. Chondroitin sulfát je součástí doporučení Evropské ligy proti revmatismu (EULAR) pro léčbu osteoartrózy kolenních kloubů [23], kyčelních kloubů [24] a osteoartrózy rukou [25]. Je též doporučován Mezinárodní společností pro výzkum osteoartrózy – OARSI (Osteoar-thritis Research Society International) – pro symptomatickou i strukturální léčbu osteoartrózy kolenních kloubů [26, 27]. S podáváním chondroitin sulfátu u zánětlivých revmatických onemocnění nejsou zatím žádné zkušenosti, proto se léčba chondroitin sulfátem těmto pacientům nedoporučuje.

Nežádoucí účinky a bezpečnost léčby

Tolerance chondroitin sulfátu byla ve všech klinických studiích velmi dobrá, nežádoucí účinky byly mírné a jejich frekvence většinou srovnatelná s placebem; ve dvou metaanalýzách z pěti byla popsána vyšší frekvence na straně chondroitin sulfátu. Závažné nežádoucí účinky nebyly popsány vůbec. Při léčbě se mohou vyskytnout mírné zažívací obtíže, nauzea, zvracení apod., vzácně exantém. Nežádoucí účinky nebývají závažné a obvykle nevedou k přerušení léčby. Nebyly dosud popsány žádné lékové interakce, chondroitin sulfát je možné v případě potřeby současně podávat s analgetiky či s nesteroidními antirevmatiky.

Dávkování

Chondroitin sulfát se podává v dávce 800 mg denně per os po dobu alespoň 3 měsíců. Jeho účinek nastupuje pozvolna, proto je možné v úvodu léčby užít dávku vyšší (1600 mg denně per os) a po nástupu účinku přejít na běžné dávky nebo podat do nástupu účinku současně analgetika či nesteroidní antirevmatika. Obvyklé schéma doporučuje podávání chondroitin sulfátu v tříměsíčních léčebných cyklech dvakrát do roka. Vzhledem k tomu, že zlepšení dosažené tříměsíčním užíváním chondroitin sulfátu přetrvává po dobu dalších 2–3 měsíců, tento typ dávkování k zajištění symptomatického účinku stačí. Strukturálního efektu však bylo dosaženo zatím jen v dlouhodobých studiích s kontinuální léčbou, strukturální efekt intermitentního podávání dosud prokázán nebyl, a není tedy jistý.

Přípravek s chondroitin sulfátem je k dostání v podobě kapslí s obsahem 400 mg a 800 mg nebo v podobě granulátu v sáčcích po 800 mg. Chondroitin sulfát je též obsažen v celé řadě doplňků stravy; ty se liší obsahem i původem chondroitin sulfátu, jenž ovlivňuje jeho farmakologické vlastnosti (např. obsah a poměr chondroitin-4-sulfátu a chondroitin-6-sulfátu apod.). Volpi poukázal na značně kolísavou kvalitu různých nutraceutik a na nutnost jejího přísnějšího sledování, jinak nelze terapeutický efekt volně prodejných doplňků stravy zaručit [1].

Závěr

Chondroitin sulfát je lék ze skupiny symptomatických pomalu působících léků osteoartrózy, který má mírný až středně silný symptomatický i strukturální účinek u osteoartrózy kolen i v jiných lokalizacích (kyčle, ruce). Doporučuje se podávat buď intermitentně, ve dvou tříměsíčních cyklech do roka, nebo lépe kontinuálně. Léčba chondroitin sulfátem je bezpečná a není zatížena závažnými nežádoucími účinky.

Seznam použité literatury

  • [1] Volpi N. Quality of different chondroitin sulfate preparations in relation to their therapeutic activity. J Pharm Pharmacol 2009; 61: 1271–1280.
  • [2] Hardingham TE, Fossang AJ. Proteoglycans: many forms and many functions. FASEB J 1992; 6: 611–870.
  • [3] Pavelka K, Adam M, Olejárová M. Osteoartróza. In: Pavelka K, Rovenský J, et al. Klinická revmatologie. Praha, Galén 2003; 391–413.
  • [4] Hardingham TE, Fossang AJ, Hey NJ, et al. The sulphatation pattern in chondroitin sulphate chains. Carb Res 1994; 255: 241–254.
  • [5] Bassleer CT, Combal JP, Bougaret S, Malaise M. Effects of chondroitin sulfate and interlekuin-1 beta on human articular chondrocytes cultivated in clusters. Osteoarthritis Cartilage 1998; 6: 196–204.
  • [6] Conrozier T. Death of articular chondrocytes. Mechanisms and protection. Presse Med 1998; 27: 1859–1861.
  • [7] Ronca F, Palmiezzi L, Pannini P. Anti-inflammatory activity of chondroitin sulphate. Osteoarthritis Cartilage 1998; 6 (Suppl. 1): 114–121.
  • [8] Conte A, Volpi N, Palmieri L, et al. Biochemical and pharmacokinetic aspects of oral treatment with chondroitin sulfate. Arzneimittelforschung 1995; 45: 918–925.
  • [9] Morreale P, Manopulo R, Galati M, et al. Comparison of the antiinflammatory efficacy of chondroitin sulfate and diclofenac sodium in patients with knee osteoarthritis. J Rheumatol 1996; 23: 1385–1391.
  • [10] Uebelhart D, Malaise M, Marcolongo R, et al. Intermittent treatment of knee osteoarthritis with oral chondroitin sulfate: a one-year, randomized, double-blind, multicenter study versus placebo. Osteoarthritis Cartilage 2004; 12: 269–276.
  • [11] Pavelka K, Manopulo R, Bucsi L. Double blind, dose-effect study of oral chondroitin 4,6 sulphate 1200 mg, 800 mg, 200 mg and placebo in the treatment of knee osteoarthritis. Litera Rheumatologica 1999; EULAR, Zurich: 21–30.
  • [12] Bourgeois P, Ghales G, Dehais J, et al. Efficacy and tolerability of chondroitin sulphate 1200 mg/day vs chondroitin sulphate 3 x 400 mg/day vs placebo. Osteoarthritis Cartilage 1998; 6 (Suppl. A): 25–30.
  • [13] Clegg D. Effects of glucosamine, chondroitin sulfate and the two in combination in painful knee osteoarthritis. New Eng J Med 2006; 354: 795–807.
  • [14] Hochberg MC, Clegg DO. Potential effects of chondroitin sulfate on joint swelling: a GAIT report. Osteoarthritis Cartilage 2008;16 (Suppl. 3): S22–24.
  • [15] Rovetta G, Monteforte P, Molfetta G, Balestra V. A two-year study of chondroitin sulfate in erosive osteoarthritis of the hands: behavior of erosions, osteophytes, pain and hand dysfunction. Drugs Exp Clin Res 2004; 30: 11–16.
  • [16] Monfort J, Martel-Pelletier J, Pelletier JP. Chondroitin sulphate for symptomatic osteoarthritis: critical appraisal of meta-analyses. Curr Med Res Opin 2008; 24: 1303–1308.
  • [17] Uebelhart D, Thonar EJ, Delmas PD, et al. Effects of oral chondroitin sulfate on the progression of knee osteoarthritis: a pilot study. Osteoarthritis Cartilage 1998; 6 (Suppl. A): 39–46.
  • [18] Uebelhart D, Malaise M, Marcolongo R, et al. Intermittent treatment of knee osteoarthritis with oral chondroitin sulfate: a one-year, randomized, double-blind, multicenter study versus placebo. Osteoarthritis Cartilage 2004; 12: 269–276.
  • [19] Michel BA, Stucki G, Frey D, et al. Chondroitins 4 and 6 sulfate in osteoarthritis of the knee: a randomized, controlled trial. Arthritis Rheum 2005; 52: 779–786.
  • [20] Kahan A, Uebelhart D, De Vathaire F, et al. Long term effects of chondroitin 4 and 6 sulphate on knee osteoarthritis. Arthritis Rheum 2009; 60: 524–533.
  • [21] Lee YH, Woo JH, Choi SJ, et al. Effect of glucosamine or chondroitin sulfate on the osteoarthritis progression: a meta-analysis. Rheumatol Int 2010; 30: 357–363.
  • [22] Rovetta G, Monteforte P, Molfetta G, Balestra V. Chondroitin sulfate in erosive osteoarthritis of the hands. Int J Tissue React 2002; 24: 29–32.
  • [23] Jordan KM, Arden NK, Doherty M, et al. EULAR recommendations 2003: an evidence based approach to the management of the knee osteoarthritis: Report of a task force of the Standing Comittee for International Clinical Studies Including Therapeutic Trials (ESCISIT). Ann Rheum Dis 2003; 62: 1145–1155.
  • [24] Zhang W, Doherty M, Arden N, et al. EULAR evidence based recommendations for the management of hip osteoarthritis: report of a task force of the EULAR Standing Comittee for International Clinical Studies Including Therapeutics (ESCISIT). Ann Rheum Dis 2005; 64: 669–681.
  • [25] Zhang W, Doherty M, Leeb BF, et al. Eular evidence based recommendations for the management of hand osteoarthritis – report of a task force of the Eular Standing Committee for International Clinical Studies Including Therapeutics (ESCISIT). Ann Rheum Dis 2007; 66: 377–388.
  • [26] Zhang W, Moskowitz RW, Nuki G, et al. OARSI recommendations for the management of hip and knee osteoarthritis, part I: critical appraisal of existing treatment guidelines and systematic review of current research evidence. Osteoarthritis Cartilage 2007; 15: 981–1000.
  • [27] Zhang W, Moskowitz RW, Nuki G, et al. OARSI recommendations for the management of hip and knee osteoarthritis, Part II: OARSI evidence-based, expert consensus guidelines. Osteoarthritis Cartilage 2008; 16: 137–162.

Sdílejte článek

Doporučené

Fezolinetant

30. 12. 2025

Souhrn Lapka M. Fezolinetant. Remedia 2025; 35: 510–517. Fezolinetant je selektivní antagonista receptoru neurokininu 3, který představuje novou…

Elafibranor

29. 9. 2025

Úvod Primární biliární cholangitida (PBC) představuje chronické autoimunitní onemocnění jater, které se rozvíjí na podkladě kombinace genetických a…

Iptakopan

30. 6. 2025

Úvod Iptakopan se dle ATC klasifikace řadí mezi Imunosupresiva, Inhibitory komplementu (L04AJ08). Komplementový systém zahrnuje více než 40…